流れ 2026年3月号 目次
― 特集テーマ:第11回日韓熱流体工学会議(TFEC11) ―
| リンク一覧にもどる | |
スパン方向に位相変化させた主流方向壁面進行波による乱流抵抗低減効果
![]() |
![]() |
![]() |
![]() |
| 大石 恭平 慶應義塾大学 |
三浦 千里 慶應義塾大学 |
難波江 佑介 東京理科大学 |
深潟 康二 慶應義塾大学 |
1. はじめに
令和7年11月に開催された第11回日韓熱流体工学会議(TFEC11)において講演発表を行い,日本機械学会若手優秀講演フェロー賞をいただきました.また,ニュースレター記事として研究内容を紹介する機会をいただきました.この場をお借りして,流体工学部門の皆様に御礼申し上げます.本稿では,同会議にて報告いたしました,スパン方向への位相変化を伴う主流方向進行波状壁面変形に関する研究内容について紹介させていただきます.
2. 背景および目的
流体抵抗,特に摩擦抵抗の低減によるエネルギー利用の効率化は,地球温暖化をはじめとする環境問題の解決に大きく貢献できると期待されている.
このような背景から,摩擦抵抗低減を目的とする流れの制御手法が数多く提案されてきた.中でも,Fig. 1 (a) に示す主流方向進行波状壁面変形は,極めて有望な手法として知られている.本手法は,圧力勾配一定 (CPG) 条件下のチャネル乱流を対象とした直接数値シミュレーション (DNS) において,60.5%という高い抵抗低減を達成している[1].しかしながら,CPG 条件下における最適ケースでは,制御による再層流化と乱流への再遷移を繰り返す激しい流動変動が生じ,流量が大きく時間変動することが確認されている.航空機やパイプライン等への実装を考慮すると,より安定した流れ場および流量において高い抵抗低減効果を得ることが望ましい.また,この不安定な流動変動は,壁面の山頂部近傍における逆流が主因であると考えられている.よって,壁面の山頂部における逆流を抑制することで,安定した流れ場と流量を得られる可能性がある.
以上の背景より,安定した流れ場と高い抵抗低減効果を両立するための新たな主流方向進行波状壁面変形制御の開発,および DNS による開発手法の効果検証を本研究の目的とする.具体的には Fig. 1 (b)に示す,スパン方向への位相変化を伴う主流方向進行波状壁面変形 (以降,スパン方向位相変化型) を提案する.本手法では,新たに付加したスパン方向への位相変化が擾乱を誘起し,壁面近傍の逆流を抑制することで,安定した流れ場が得られることが期待される.

Fig.1 Schematic of streamwise traveling wave-like wall deformation: (a) spanwise-uniform[1] ; (b) with spanwise phase shift.
3. 計算手法
本研究では壁面変形を伴う制御を扱うため,壁面形状に沿った境界適合格子を用いてチャネル乱流の DNS を行う必要がある.境界適合格子における計算の煩雑さを回避するため,Kang and Choi[2]により提案された座標変換を支配方程式に適用し,直交格子における離散化を可能とした.本研究における支配方程式は,座標変換を適用した非圧縮性の連続の式およびNavier-Stokes方程式であり,摩擦レイノルズ数が の CPG 条件下で計算を行う.

Fig.2 Schematic of control parameters: (a) the parameters for the conventional streamwise traveling wave; (b) the parameters to determine the form of the spanwise phase shift.
本研究で提案するスパン方向位相変化型の制御には, 5つの制御パラメータが存在する.具体的には,主流方向進行波に関連する3変数 と,スパン方向への位相変化に関連する2変数
である.Figure 2(a)に示すように,
は壁面変形速度の振幅,
は進行波が伝播する速度,
は主流方向進行波の波長であり,従来型の主流方向進行波状壁面変形と共通の制御パラメータである.一方,Fig. 2(b)に示すように,
および
はそれぞれスパン方向に形成される正弦波状構造の振幅および波長であり,スパン方向位相変化型に特有のパラメータである.本研究では,主流方向進行波に関する3変数をNabae and Fukagata[1]の最適ケースに固定し,スパン方向への位相変化に関連する2変数のみを可変として,パラメトリックスタディを行った.
4. 結果および考察
位相変化振幅 およびスパン方向波長
の2変数に関するパラメトリックスタディの結果,
がある閾値よりも小さい場合,先行研究で見られた流動変動および流量の不安定化が生じることが確認された.一方,
が閾値よりも大きい場合,安定した流れ場と流量が維持されることが明らかとなった.また,流れ場の挙動が遷移する閾値となる
の値は,
に比例する傾向が見られた.
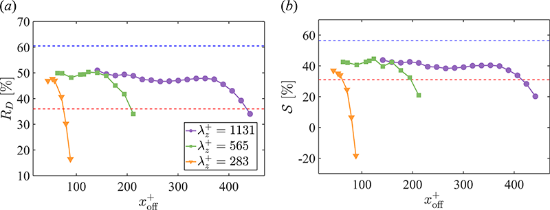
続いて,安定した流れ場と流量が得られるケース (以降,流量安定ケース) に対して,抵抗低減率および正味エネルギー削減率を用いた定量的な評価を行った.Figure 3に,流量安定ケースにおける抵抗低減率および正味エネルギー削減率
の分布を示す.本研究では,
において最大抵抗低減率
,
において最大正味エネルギー削減率
を達成した.ただし,
は壁指標を示す.これらの結果は,安定した流れ場が維持される条件下で最大の抵抗低減効果を示した Nabae et al. [3] の最大抵抗低減ケースの結果を10% 以上も上回る結果である.

Fig. 3 Drag reduction and net energy saving rates, and
, in the steady-flow-rate
cases: (a) ; (b)
. Blue and red dotted lines represent the optimized case in Nabae & Fukagata[1] and the maximum drag reduction case in Nabae et al.[3] , respectively.
本手法において高い抵抗低減効果が得られた要因を解明するために,レイノルズせん断応力 (RSS) の乱流成分 (以降,乱流 RSS) に着目する.Figure 4に示す における乱流RSSを見ると,非制御およびNabae et al. [3]と比較して,本手法では壁面近傍における抑制が顕著であることが分かる.これが,本手法において先行研究よりも高い抵抗低減効果が得られた主因であると考えられる.
続いて,乱流RSSが抑制された要因を分析するために,Q値[4]の等値面による渦構造の可視化を行った.可視化の結果をFig. 5に示す.Figure 5より,本研究の最大正味エネルギー削減ケースでは,非制御および Nabae et al. [3]と比較して,縦渦が抑制されていることが分かる.また,発生している縦渦についても,特定のスパン方向位置に局在化しているという特徴が見られる.この縦渦の抑制および分布の局在化が,壁面近傍における乱流RSSの抑制に寄与したと考えられる.

Fig.4 Turbulent RSS in the case of .

Fig. 5 Instantaneous vortical structures identified using the Q criterion[4] : (a) the uncontrolled case; (b) the maximum drag reduction case in Nabae et al.[3] ; (c) the maximum net energy saving case (). Color represents the wall-normal coordinate in the real space.
5. 結言
本研究では,スパン方向への位相変化を伴う主流方向進行波状壁面変形によるチャネル乱流の抵抗低減効果を調査した.その結果,流量が安定的に維持される条件下において,先行研究を上回る抵抗低減効果を達成した.また,本手法における高い抵抗低減効果は,縦渦の抑制および局在化によって,壁面近傍の乱流RSSが著しく低減されたことに起因すると結論付けられた.
謝辞
本研究はJSPS科研費JP21H05007の助成を受けたものです.末筆ではございますが,本賞の選考にあたりご尽力いただきました選考委員の皆様,ならびに本稿執筆の機会をくださいました流体工学部門の皆様に深く感謝いたします.




